рефераты бесплатно
 

МЕНЮ


Контрольная работа: Гладкое цилиндрическое соединение. Определение элементов соединений, подвергаемых селективной сборке

,

 

ЗАДАНИЕ 3

 

Расчет и выбор полей допусков для деталей, сопрягаемых с подшипниками качения

Цель задания:

1.  Научиться обоснованно, назначать поля допусков для размеров, сопрягаемых с подшипниками качения.

2.  Научиться обозначать на чертежах посадки колец подшипников качения с деталями.

Исходными данными служат:

1.  Номер подшипника качения. - 205

2.  Величина его радиальной нагрузки. – 2500 Н

3.  Чертеж узла, в котором используется подшипник качения: номер чертежа узла 1.

В задании требуется:

1.  Определить конструктивные размеры заданного подшипника качения.

2.  Установить характер нагрузки подшипника.

3.  Определить вид нагружения каждого кольца подшипника.

4.  Рассчитать и выбрать посадки подшипника на вал и в корпус.

5.  Для сопряжений «подшипник-корпус» и «подшипник-вал» построить схемы полей допусков, с указанием номинальных размеров, предельных отклонений, зазоров или натягов.

6.  Вычертить эскизы подшипникового узла и деталей, сопрягаемых с подшипником, указав на них посадки соединений и размеры деталей.

Решение:

1.  По приложению Ж методических указаний определим конструктивные размеры заданного подшипника №205 (D, d, B и r) в соответствии с ГОСТ 8338 – 75.

Нормальные габаритные размеры подшипников (ГОСТ 8338 – 75)

Условные обозначения подшипников Габаритные размеры, мм

Радиус закругления фаски, r мм

внутренний диаметр, d

наружный диаметр, D

ширина, B

Легкая серия
205 25 52 15 1,5

2. По чертежу рис. 1 узла с учетом условий его работы нужно установим характер нагрузки подшипника:

- перегрузка до 150%, умеренные толчки и вибрации (статическая).


Рис. 1 - Первая типовая схема

3. Вид нагружения показывает, какая часть беговой дорожки каждого кольца воспринимает радиальную нагрузку. В данной схеме внутренние кольца подшипников вращаются вместе с валом, наружные кольца, установленные в корпусе, неподвижны. Радиальная нагрузка Р постоянна по величине и не меняет своего положения относительно корпуса.

В этом случае внутреннее кольцо воспринимает радиальную нагрузку Р последовательно всей окружностью дорожки качения, такой вид нагружения кольца называется циркуляционным. Наружное кольцо подшипника воспринимает радиальную нагрузку лишь ограниченным участком окружности дорожки качения, такой характер нагружения кольца называется местным.

Дорожки качения внутренних колец подшипников изнашиваются равномерно, а наружных – только на ограниченном участке.

При назначении посадок подшипников качения существует правило: кольца, имеющие местное нагружение, устанавливаются с возможностью их проворота с целью более равномерного износа дорожек качения; при циркуляционном нагружении, напротив, кольца сажают по более плотным посадкам.

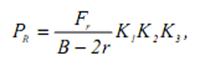
4. Посадку подшипников качения на вал и в корпус выбирают, прежде всего, в зависимости от вида нагружения колец. При циркуляционном нагружении колец подшипников посадки а валы и в корпусы выбирают по величине интенсивности радиальной нагрузки на посадочной поверхности. Интенсивность радиальной нагрузки определяют по формуле (79) [1], учитывая при выборе коэффициентов характер нагрузки, конструкцию вала и корпуса под подшипник, вид подшипника качения. При этом необходимо понимать, что нагрузка подшипника и вид нагружения его колец – разные вещи.

Определив для циркуляционно нагруженного кольца величину интенсивности радиальной нагрузки, по таблице 16 [1] выбирают поле допуска соответственно для вала или корпуса, сопрягаемого с этим кольцом. Посадку под кольцо, имеющее местный вид нагружения, выбирают из таблицы 17 [1].

Радиальная нагрузка Fr = 2500 H, перегрузка до 150%, умеренные толчки и вибрации (статическая), осевая нагрузка отсутствует.

Вид нагружения колец: внутреннего – циркуляционный, наружного – местный.

Из маркировки подшипника следует, что задан радиальный однорядный шариковый подшипник легкой серии, класс точности 6.

Основные размеры подшипника:

посадочный размер наружного кольца D = 52 мм;

посадочный размер внутреннего кольца d = 25 мм;

ширина колец В = 15 мм;

радиус фаски r = 1,5 мм.

Таблица 5 – Предельные отклонения диаметра отверстия внутренних колец d радиальных подшипников по СТ СЭВ 774-77

Таблица 6 – Предельные отклонения диаметра отверстия наружных колец D радиальных подшипников по СТ СЭВ 774-77

В таблицах 5 и 6 находим предельные отклонения посадочных размеров колец.

Внутреннее кольцо d = 25 мм; имеет отклонения:

ES = 0,

EI = - 8 мкм = - 0,008 мм. (L6)

Наружное кольцо D = 52 мм;

es = 0,

ei = - 11 мкм = - 0,011 мм. (l6)


Наружное кольцо испытывает местный вид нагружения.

Для отверстия в корпусе, соединенного с этим кольцом, по таблице 7 выбираем поле допуска Н7. Допуск 30 мкм. Отклонения отверстия ∅52 Н7 составляют:

ES = +30 мкм = +0,030 мм,

EI = 0.

Для внутреннего кольца, испытывающего циркуляционный вид нагружения, определяем интенсивность нагрузки

где Fr = 2500 H = 2,5 кH – радиальная нагрузка;

В = 15 мм = 0,015 м – ширина кольца;

r = 1,5 мм = 0,0015 м – радиус фаски;

К1 – динамический коэффициент посадки (при перегрузке до 150%

К1 = 1; при перегрузке > 150% К1 = 1,8);

К2 – коэффициент, учитывающий ослабление натяга при полом вале или тонкостенном корпусе (при сплошном вале К2 = 1);

К3 – коэффициент неравномерности распределения радиальной на-

грузки между телами качения в двухрядных или сдвоенных

подшипниках (в примере К = 1).

PR = 2,5 /(0,015 – 2*0,0015) *1*1*1 = 208,333 Кн/м


Таблица 7 – Рекомендуемые поля допусков валов и отверстий корпусов под подшипниками качения с местным нагружением колец

Согласно таблице 8, заданным условиям для вала соответствует поле допуска js6. Допуск 13 мкм. Из таблицы Приложения находим предельные отклонения вала ∅25 js6:

es = +6,5 мкм = +0,0065 мм,

ei = - 6,5 мкм = - 0,0065 мм.

Таблица 8 – Допустимые интенсивности нагрузок на посадочных поверхностях валов и корпусов.


Внутреннее кольцо подшипника имеет размер ∅25 мм.

Вал, соединяемый с этим кольцом, имеет размер ∅25js6 мм

Наибольший натяг составит:

Nmax = es – EI = +0,0065 – (-0,008) = 0,0145 мм.

Проверим допустимость этого натяга из условия прочности кольца

Где d – диаметр внутреннего кольца подшипника, м.

d = 0,025 м

[σр] – допускаемое напряжение на растяжение, МПа (для подшипниковой стали [ σр ] ≈400 МПа

k- коэффициент, зависящий от серии подшипника. Для легкой серии k= 2,8

Условие прочности выполняется, так как

[N ] = 0,089 > Nmax = 0,0145

Таблица 9 – Выбор посадки

Вид кольца Нагружение Посадка
Внутреннее, посадка на вал Циркуляционное

Ø25

Наружное, посадка в корпус Местное

Ø52

5. Построение схем полей допусков приведено на чертеже рис. 1.


ЗАДАНИЕ 4  

Допуски и посадки шпоночных соединений

Цель задания:

1.  Научиться выбирать поля допусков для размеров шпоночных соединений.

2.  Научиться обозначать посадки шпоночных соединений на чертежах.

Исходными данными служат:

1.  Диаметр вала d, мм. d = 36 мм

2.  Конструкция шпонки.- Сегмент

3.  Назначение (вид) соединения - нормальный

В задании требуется:

1.  Определить основные размеры шпоночного соединения.

2.  Выбрать поля допусков деталей шпоночного соединения по ширине шпонки.

3.  Назначить поля допусков и определить предельные отклонения остальных размеров шпоночного соединения.

4.  Подсчитать все размерные характеристики деталей шпоночного соединения и для сокращения отчета записать их в таблицу 4.

5.  Определить предельные зазоры и натяги в соединении шпонка-паз вала и шпонка-паз втулки.

6.  Вычертить схему расположения полей допусков по ширине шпонки.

7.  Вычертить эскизы шпоночного соединения и его деталей с указанием всех основных размеров и полей допусков в буквенном и числовом обозначении.

Решение:

1.  Номинальные размеры шпоночного соединения с призматическими шпонками определяют по СТ СЭВ 189 – 75 (приложение К к методическим указаниям), а с сегментными – по СТ СЭВ 647 – 77 (приложение Л здесь же).

Из таблицы основных размеров соединений с сегментными шпонками, мм (выдержка из СТ СЭВ 647-77) имеем:

Диаметр вала

bhd

Глубина паза
на валу во втулке
» 32 » 38 10х13х22 10,0 3,3

2.  Выбор полей допусков деталей шпоночного соединения зависит от вида соединения. Стандарт предусматривает три вида соединений по ширине шпонки: плотное, нормальное и свободное. Каждому из этих видов соединений соответствует определенный набор полей допусков на ширину шпонки, ширину паза вала и паза втулки. Все эти поля допусков для разных видов шпоночных соединений приведены в таблице 22 [1]. Численные значения предельных отклонений определяют при помощи таблиц со значением допусков и основных отклонений (как в задании 1).

Исполнительные размеры шпоночных пазов.

Соединение нормальное.

Паз на валу: N9, ширина b = 10 мм

EI = -0,036

ES = 0

10 N9мм

Паз во втулке: js 9

ei = - 0,018

es = + 0,018

10 js 9 мм.

Глубина, вал t1 = 10 мм

Глубина, втулка t2= 3,3 мм


3. Указания по назначению полей допусков на другие размеры деталей шпоночного соединения даны в СТ СЭВ 57 – 73, по которому назначаются следующие поля допусков:

высота шпонки – по h11, h =13

длина шпонки – по h14,

длина паза вала – по H15,

глубина паза вала и втулки – по H12,

диаметр сегментной шпонки – по h12.D = 32

Заполним таблицу 10 для вала d= 36 мм, сегментной шпонки и нормального соединения.

Таблица 10 – Размерные характеристики деталей шпоночного соединения

Наименование размера Номинальный размер, мм Поле допуска Предельные отклонения, мм Предельные размеры, мм Допуск размера, Т, мм

верхнее

es

Нижнее ei max min
Ширина шпонки b 10

h9

0 -0,036 10,000 9,964 0,036
Высота шпонки h 13

h11

0 -0,110 13,000 12,890 0,110
Ширина паза вала 10

N9

0 -0,036 10,000 9,964 0,036
Ширина паза втулки 10

JS9

+0,018 -0,018 10,018 9,982 0,036
Глубина паза вала t1 10

H12

+0,120 0 10,120 10,000 0,120
Глубина паза втулки t2 3,3

H12

+0,120 0 3,420 3,300 0,120
Диаметр шпонки *(для сегментных шпонок) D 32

h12

0 -0,120 32,000 31,880 0,120

Страницы: 1, 2, 3, 4, 5


ИНТЕРЕСНОЕ



© 2009 Все права защищены.