рефераты бесплатно
 

МЕНЮ


Контрольная работа: Економічні стратегії підприємства, доходи інвестора

Стилі стратегічного керівництва.

Для подолання опору і проведення стратегічних змін, залежно від ситуації і організаційної культури, що існує чи формується, менеджери використовують наступні стилі керівництва:

Конкурентний - акцент робиться на силу, примус, людину просто заставляють без особливих роз'яснень поступати так, як вимагає стратегія. Розв'язання такого конфлікту передбачає наявність переможця і переможеного.

Компроміс - помірна наполегливість менеджерів, намагання роз'яснити і порозумітись, навіть скооперуватись з тими, хто виступає проти змін.

Співробітництво - менеджери проводять зміни на основі кооперації з тими, хто чинить опір.

Пристосування - намагання співпрацювати з опонентами при дуже слабкому наполяганні на проведенні змін.

Самоліквідація - менеджери навіть не шукають шляхів співробітництва з тими, хто чинить опір і не проявляють особливої наполегливості у проведення змін, має місце самоплив.

Методи проведення стратегічних змін

Нарешті, методи, що застосовуються при проведенні стратегічних змін можуть бути наступними:

Примушування - коли стратегічні зміни проводять під значним адміністративним тиском. Застосовується в умовах гострого дефіциту часу. Переваги - швидкість. Недоліки - значний опір, значні моральні і матеріальні втрати, негативні, як правило, соціальні наслідки.

Переконання і залучення - коли персонал переконують в необхідності змін і навіть залучають до співпраці. Застосовується, як правило, в комбінаціях з послідуючими методами і в тих же умовах. Переваги - персонал іде на зміни свідомо, поводиться добросовісно, а отже сприяє змінам. Недоліки - повільність.

Адаптаційний - коли створюють умови для привикання до змін. Застосовують в умовах достатнього запасу часу і високої передбачуваності середовища. Переваги - невисокий опір і легкість проведення змін. Недоліки - повільність змін.

Кризовий - коли зміни проводять у надто мінливому і не передбачуваному середовищі, що загрожують існуванню підприємства. Тобто проводять в умовах загрози виживанню.

Переваги - низький опір, оскільки страх перед банкрутством вищий ніж перед змінами, має місце навіть підтримка змін.

Недоліки - ризик провалу.

Метод управління опором - застосовують тоді, коли часу для проведення змін більше, щоб не застосовувати примушування, але менше, щоб застосовувати адаптаційний метод. Тобто застосовується в умовах помірної терміновості змін, при переривчастих змінах середовища, що постійно повторюються. Переваги - невисокий опір, пристосування до часу, значний ріст досвіду. Недоліки - складність, оскільки має місце поетапний плановий підхід, причому планування і проведення змін відбувається майже одночасно.

Контроль і коректування стратегічного плану

При здійсненні на основі стратегічного плану стратегічних змін, виявляються помилки, допущені на певних етапах його формування або ж, внаслідок різкої, не прогнозованої зміни середовища, окремі достатньо обґрунтовані елементи плану стають малоефективними а то і шкодять стратегічному розвитку.

Отож логічно виникає гостра необхідність постійного контролю і коректування стратегічного плану в процесі його реалізації. При цьому, інколи здійснюють зворотний зв'язок, повертаючись навіть до перегляду місії чи окремих цілей, повертаються на певні етапи формування стратегії і роблять нові додаткові розрахунки та коректування стратегічного плану.

Означене слід мати на увазі, здійснюючи реалізацію стратегії, розробити відповідні форми і розставити відповідно кадри. Цими проблемами займається дисципліна „Стратегічне управління".

Стратегія фінансування. Стратегія фінансування поточних активів

В теорії фінансового менеджменту прийнято виділяти різні стратегії фінансування поточних активів в залежності від відношення фінансового менеджера до вибору джерел покриття варійованої частини оборотних активів.

Відомі чотири моделі стратегіях фінансування поточних активів: ідеальна, агресивна, консервативна, компромісна.

Ідеальна модель побудована виходячи з понять “поточні активи” та “поточні зобов”язання". Термін “ідеальний” означає не в прямому значенні ідеал, а рівність поточних активів з короткостроковими зобов”язаннями. Сутність цієї стратегії полягає в тому, що довгострокові пасиви встановлюються на рівні необоротних активів, тобто ця модель має такий вигляд:

ДП = НА, де ДП - довгострокові пасиви НА - необоротні активи Довгострокові пасиви включають: власні кошти (статутний капітал, додатковий капітал, резервний капітал, нерозподілений прибуток) та запозичені (довгострокові кредити банку, інші довгострокові позички).

Необоротні активи включають: нематеріальні активи, незавершене будівництво, основні засоби, довгострокові фінансові інвестиції, довгострокова дебіторська заборгованість (заборгованість за майно), відстрочені податкові активи, інші необоротні активи.

В реальному житті ця модель практично не зустрічається через те, що вона найбільш ризикована, оскільки при несприятливих умовах (наприклад, коли треба розрахуватися зі всіма кредиторами одночасно) підприємство може опинитися перед необхідністю продажу частини основних засобів для покриття поточної кредиторської заборгованості. Сутність цієї стратегії полягає в тому, що довгострокові пасиви встановлюються на рівні необоротних активів.

Агресивна модель фінансування поточних активів полягає в тому, що довгострокові пасиви є джерелом покриття необоротних активів та постійної частини поточних активів, тобто їх мінімуму, який необхідний для здійснення господарської діяльності. В цьому разі варійована частина поточних активів в повному обсязі покривається короткостроковою кредиторською заборгованістю.

З позиції ліквідності ця стратегія також є ризикованою, оскільки в практичній діяльності обмежуватися лише мінімумом на поточних активів не можливо. Агресивна модель фінансування поточних активів має такий вигляд:

ДП + ПА + ПЧ,

де ДП - довгострокові пасиви;

ПА - необоротні активи;

ПЧ - постійна частина оборотних активів (норматив оборотних коштів).

Консервативна модель передбачає, що варійована частина поточних активів також покривається довгостроковими активами, Як правило, консервативна модель застосовується на початкових стадіях існування підприємства за умови достатньої величини капіталу власників підприємства і доступності довгострокових кредитів інвестиційного фінансування.

В цьому разі короткострокової кредиторської заборгованості немає, відсутній ризик втрати ліквідності, тобто модель має штучний вигляд. В господарській діяльності такого не буває, щоб була відсутня кредиторська заборгованість.

Ця модель має такий вигляд:

ДП = ПА + ПЧ + ВЧ,

де ВЧ - варійована частина поточних активів Компромісна модель фінансування поточних активів найбільш реальна. Сутність її полягає її в тому, що необоротні активи, постійна частина поточних активів і приблизно половина варійованої частини поточних активів покривається довгостроковими пасивами. При цьому чистий оборотний капітал визначається у вигляді різниці між довгостроковими та необоротними активами, тобто:

ЧК = ДП - ПА,

де ЧК - чистий оборотний капітал, Чистий оборотний капітал також можна відобразити таким рівнянням:

ЧК = ПЧ + 0,5ВЧ

При компромісній моделі в окремі періоди господарської діяльності підприємство може мати надмірні поточні активи, що негативно впливає на розмір прибутку. Водночас це дає можливість підтримувати ліквідність балансу підприємства на відповідному рівні.

Компромісна модель фінансування поточних активів має такий вигляд:

ДП= ПА+ПЧ+05+ВЧ,

де ДП-довгострокові пасиви ПА-необоротні активи ПЧ-постійна частина активів ВЧ - варійована частина поточних активів.

Таким чином, можна зробити висновок, що з точки зору оптимізації прибутковості і ризику найбільш оптимальною є стратегія комерційного фінансування. Дана стратегія оптимально поєднує рівень прибутковості і середній рівень ризику, забезпечує достатньо високий рівень фінансової стійкості та платоспроможності підприємства. Проте, виходячи з пріоритетності цілей фінансово-господарської діяльності підприємства на окремих стадіях його розвитку, оптимально може стати інша стратегія фінансування. Взагалі, при виборі стратегії фінансування необхідно знайти бажане співвідношення між рівнем рентабельності і використання власного капіталу і рівнем ризику зниження фінансової стійкості підприємства, яка оцінюється величиною його чистого оборотного капіталу.


Стратегія фінансування інвестиційного проекту

Цей розділ бізнес-плану є найважливішим і узагальнюючим. Він містить прогноз обсягів реалізації продукції, баланс грошових надходжень і витрат, зведений баланс активів і пасивів підприємства, графік досягнення беззбитковості. Цей розділ становить найбільший інтерес для інвесторів та банківських установ, які надають кредити.

Згідно з фінансовим планом розроблюють стратегію фінансування інвестицій і план повернення коштів інвесторам. Найчастіше стратегію фінансування інвестиційного проекту виокремлюють у самостійний розділ.

Фінансовий план будують у вигляді порівняння майбутніх доходів та експлуатаційних витрат з виходом на валовий і чистий прибутки, грошовий потік.

Грошовий потік - це основний показник, що характеризує ефективність здійснення інвестицій. Він охоплює чистий прибуток і суму амортизації, що є джерелом для повернення інвестору вкладеного капіталу.

План доходів і витрат можна побудувати у вигляді табл.25, де на перший рік експлуатації інвестиційного об'єкта показники прогнозуються помісячно, на другий - поквартально, на третій і наступні - у цілому за рік.

Поріг беззбитковості можна визначити за формулою

де В - загальний обсяг випуску (кількість) продукції, при якому досягається беззбитковість виробництва; ПВВ - умовно-постійні витрати на весь випуск; Ц - ціна одиниці продукції; ЗВО - змінні витрати на одиницю продукції.

До умовно-постійних витрат зараховують такі, що не залежать від обсягу виробництва (амортизація основних засобів, орендна плата, витрати на адміністративно-управлінський апарат тощо).

До змінних витрат зараховують такі, що залежать від обсягу виробництва (вартість матеріалів, палива, енергії, технологічні затрати, основна заробітна плата працівників тощо).

Законодавчі акти України, зокрема типові положення з планування, обліку та калькуляції собівартості продукції у промисловості, сільському господарстві, будівництві, торгівлі, не передбачають розподілу витрат під час їх планування та обліку на постійні та змінні. Через відсутність інформації про ці групи витрат виникають певні труднощі у процесі визначення й аналізу порога беззбитковості (особливо під час прогнозування фінансових показників від майбутньої діяльності інвестиційного проекту, коли важко уявити, як формуватимуться ті чи інші витрати у разі зміни обсягів виробництва).

З огляду на викладене науковцям доцільно розробити класифікатор ступеня залежності тих чи інших витрат від зміни обсягів виробництва. Оскільки практично немає суто постійних і суто змінних витрат, доцільно виразити залежність тих чи інших витрат від зміни обсягів виробництва у процентному відношенні. Використовуючи ці нормативи, можна визначити постійні та змінні витрати, розрахувати й графічно зобразити умови досягнення беззбитковості (рис.41).

Стратегія фінансування інвестиційного проекту.

Наступним етапом прогнозування фінансових показників при складанні інвестиційного бізнес-плану є визначення стратегії фінансування інвестиційного проекту. На цьому етапі необхідно виявити загальні потреби у фінансових ресурсах і джерела фінансування інвестиційного проекту.

Джерелами для здійснення інвестицій можуть бути насамперед власні кошти підприємства (залишковий прибуток, фонди економічного стимулювання, амортизаційний фонд тощо), а також такі ресурси:

• позичкові фінансові кошти (банківські та бюджетні кредити, надходження від випуску й продажу облігацій тощо);

• залучені фінансові ресурси (залучений акціонерний капітал, пайові та інші внески громадян і юридичних осіб);

• бюджетні інвестиційні асигнування;

• безоплатні та благодійні внески, пожертвування організацій, підприємств, громадян.

У бізнес-плані слід чітко розмежовувати наявні та необхідні фінансові ресурси, фінансові вклади українських і іноземних інвесторів. Форми здійснення як вітчизняних, так і іноземних інвестиційних внесків можуть бути різними: грошові вклади в національній чи іноземній валюті; майнові вклади у вигляді поставки устаткування, матеріалів, товарів; кредити в банках; передавання права на використання винаходів, патентів, ноу-хау; підготовка експлуатаційних кадрів; забезпечення ринку збуту та умов експортування продукції за кордон тощо.

Графік потоку джерел інвестування слід спрогнозувати на весь період фінансування інвестиційного проекту, причому на перший рік - щомісячне фінансування, на другий - щоквартальне.

Визначення ефективності інвестиційного проекту.

Заключним етапом складання фінансового плану є розрахунок показників ефективності майбутніх інвестицій. Це дуже важлива, відповідальна та складна робота.

Важливість її полягає в тому, що кожний інвестор хоче мати хоча б приблизне уявлення про результати, які будуть отримані в результаті реалізації інвестиційного проекту. Проекти, які не даватимуть відповідного ефекту, є безперспективними і тому ніхто не вкладатиме в них кошти.

Необхідно обґрунтувати показники ефективності інвестицій з високим ступенем достовірності й точності, урахувати всі фактори, які можуть впливати на ефективність проекту, оцінити можливі ризики.

Значна відмінність між прогнозованими і фактичними результатами може призвести до конфліктних ситуацій між учасниками інвестиційного проекту, втрати запланованих доходів, а найгірше - вкладених капіталів.

Складність розрахунку ефективності майбутніх інвестицій зумовлюється тим, що дуже важко правильно оцінити всі сторони інвестиційної діяльності як на етапі здійснення інвестицій, так і під час експлуатації інвестиційного проекту, точно спрогнозувати й досягти високого ступеня достовірності інформації.

Крім того, існує кілька методик визначення ефективності інвестиційної діяльності.

Як відомо, під ефективністю розуміють співвідношення результатів і затрат на їх досягнення. В інвестиційній діяльності економічну ефективність визначають шляхом порівняння результатів, одержаних у процесі експлуатації об’єктів інвестування, і сукупних затрат на здійснення інвестицій.

У вітчизняній економіці дотепер традиційно використовують два показники для оцінювання ефективності капітальних вкладень - коефіцієнт ефективності (Е) та обернений до нього показник - період окупності (П), які розраховують так:

де П - середньорічний прибуток у період експлуатації об’єктів інвестування; К - сума капіталовкладень у ці об’єкти (сума інвестицій).

Застосування цих показників для оцінювання ефективності інвестицій в умовах ринкової економіки дає змогу виявити їх істотні недоліки. Основний недолік розглядуваної методики полягає в тому, що вона не враховує фактор часу. Як відомо, інвестиційний цикл - це довготривалий процес, який охоплює періоди здійснення інвестицій та експлуатаційний, тобто час повернення вкладених капіталів. Інвестиційний лаг може три-вати роками. За цей час в економіці країни можуть відбуватися важливі процеси, що спричинюються економічним спадом, інфляцією або розвитком. Крім того, слід ураховувати, що вкладені кошти могли б дати певний ефект, якби їх використали в іншій сфері діяльності, наприклад як депозитний вклад у банку. Ця методика не передбачає приведення майбутнього ефекту до теперішньої вартості вкладених капіталів.

Другий істотний недолік традиційного способу оцінювання ефективності капітальних вкладень полягає в тому, що за основне джерело повернення вкладеного капіталу беруть тільки прибуток. Проте серед основних джерел фінансування інвестиційної діяльності особливо важливими є амортизація та повне відновлення основних засобів.

Тому, вибираючи методи оцінювання ефективності інвестиційних проектів, слід звертатися до зарубіжної практики.

Найпоширенішим є метод оцінювання ефективності інвестицій за допомогою визначення розмірів грошового потоку, який складається із су-ми чистого прибутку та амортизаційних відрахувань за час експлуатації. При цьому суму грошового потоку й капіталовкладень необхідно при-вести до теперішньої їх вартості.

До показників, які використовують для визначення ефективності інвестицій, належать сума чистого приведеного доходу, індекс дохідності, період окупності та внутрішня норма дохідності.

Чистий приведений дохід - це абсолютна сума ефекту від здійснення інвестицій, що визначається за формулою

чпд = гпт-ік,

де ГПт - сума грошового потоку, приведена до теперішньої вартості, за весь період експлуатації інвестиційного проекту (чистий прибуток плюс амортизаційні відрахування); ІК - сума інвестиційних коштів, спрямованих на реалізацію інвестиційного проекту.

Приведення грошового потоку до його теперішньої вартості здійснюють методом дисконтування, використовуючи складні проценти. Теперішню вартість грошового потоку за наведеною методикою можна роз-рахувати так:

де ГПм - майбутня вартість грошового потоку; і - відсоткова ставка, виражена десятковим дробом; п - кількість періодів (місяців, кварталів, років) з початку інвестиційного циклу.

Грошовий потік охоплює чистий прибуток та амортизацію за весь пе-ріод експлуатації. Якщо цей період визначити важко, то для розрахунків беруть період 5 років.

Дисконтна ставка - це відсоткова ставка, застосування якої у процесі дисконтування дасть змогу привести майбутню вартість грошового пото-ку до теперішньої. Це дуже важливий і складний показник. Визначають його з урахуванням таких факторів:

• середньої реальної депозитної або кредитної ставки за грошовими вкладами у банки;

• темпу інфляції, що передбачається на період.

Реальну ставку відсотка з урахуванням цього фактора визначають так:

гр = г-Т,

де і - номінальна ставка відсотка; Т - темп інфляції.

Що вищий темп інфляції, то вищою має бути ставка відсотка, яка могла б компенсувати інвестору втрачений дохід у вигляді:

• “премії від інфляції”;

• премії за ризик. Загальна відсоткова ставка має враховувати ступінь ризику інвестицій і компенсувати можливі втрати від нього у вигляді “премії за ризик". За більш ризикових об’єктів інвестування слід відповідно збільшувати ставку відсотка;

• премії за низьку ліквідність (встановлюючи ставку відсотка, необхідно враховувати й компенсувати у вигляді додаткового доходу можливі втрати інвестора від зниження ліквідності інвестицій).

Чистий приведений дохід не може бути від’ємним, бо в цьому разі зроблені інвестиції не принесуть доходу і будуть збитковими.

Індекс дохідності - це відносний показник, що характеризує ефективність інвестицій.

Він визначається відношенням суми грошового по-току, приведеної до теперішньої вартості, до суми інвестиційних коштів:

Індекс дохідності не може бути менший за одиницю (такий проект є неефективним, і його слід відхилити).

Чистий приведений дохід та індекс дохідності перебувають у прямій залежності. Зі збільшенням абсолютної суми чистого приведеного доходу підвищується й індекс дохідності, тому на практиці можна розрахувати лише один із зазначених показників. Проте порівнюючи кілька інвестиційних проектів, доцільно розраховувати обидва показники з метою глибшого вивчення наявних проектів і вибору найкращого.

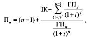
Період окупності - найпоширеніший з показників оцінювання ефективності інвестицій. Він допомагає відповісти на питання, за який період вкладені кошти повернуться до інвестора. Період окупності розраховують за формулою

де ГПс - середня сума грошового потоку в теперішній вартості в конкретному періоді (у разі короткострокових інвестицій цей період може тривати один місяць, а в разі довгострокових - один рік).

На практиці використовують також дещо модифіковані способи визначення періоду окупності:

де ГП. - обсяг грошового потоку ву'-му періоді; ГПй - обсяг грошового потоку в і-му періоді, коли його наростаюча сума досягне розмірів вкладених інвестицій; і - дисконтна ставка для приведення грошового потоку до теперішньої вартості; п - порядковий номер періоду (року, кварталу, місяця), в якому сума дисконтованого грошового потоку, включаючи грошові потоки за всі попередні роки, уперше перевищить розмір інвестицій.

За допомогою зазначених методів можна розраховувати період окупності згідно із сумами грошового потоку кожного періоду (у першому випадку без дисконтування майбутньої вартості, у другому - з урахуванням дисконтних ставок і приведенням грошового потоку до теперішньої вартості).

Визначення внутрішньої норми дохідності інвестиційного проекту.

Показник внутрішньої норми дохідності у розрахунках характеризує рівень дохідності конкретного інвестиційного проекту (у відсотках) у формі дисконтної ставки в розмірах, за яких майбутній обсяг грошового потоку приводиться до теперішньої вартості вкладених інвестицій. Іншими словами, внутрішню норму дохідності можна охарактеризувати як дисконтну ставку, за якої чистий приведений дохід у процесі дисконтування дорівнюватиме нулю. Внутрішню норму дохідності як показник використовують здебільшого для порівняльного оцінювання ефективності інвестицій. Порівнюючи два і більше проекти, можна вибрати варіант, який забезпечує найвищий рівень дохідності. Розглянемо на прикладі методику розрахунку ефективності інвестицій, використовуючи умовні дані. Вихідні дані для розрахунку інвестиційних проектів А і Б наведено в табл.26.

На основі виконаних розрахунків доходимо таких висновків:

1. Загальна сума грошового потоку за проектом Б набагато перевищує цей показник за проектом А. Однак необхідно зважити на те, що за другим проектом термін повернення капіталу у вигляді грошового потоку більший на один рік, ніж за першим.

2. Унаслідок проведення дисконтування визначено теперішню вартість грошового потоку, яка є набагато нижчою від майбутньої: за проектом А теперішня вартість становить 78,3%, а за проектом Б - лише 69,5%. Більш різке зниження реального грошового потоку за другим проектом порівняно з першим спричинене відмінністю дисконтних множників (15% проти 12%), що може призвести до збільшення відсоткової кредитної ставки, підвищення ризику та зменшення ліквідності. Крім того, слід зважити й на те, що за проектом Б на один рік збільшено період дисконтування, а з віддаленням строку повернення вкладених коштів їх реальна ціна зменшується. Наприклад, за перший рік за проектом Б реальна вартість потоку зменшилася на 13,1% порівняно з майбутньою (100 - 3043/3500-100), а за четвертий рік це зниження становило аж 42,2% (100-3145/5550-100).

3. Чистий приведений дохід для проекту А становить 1539 тис. грн, а для проекту Б - 1207 тис. грн. Проте абсолютні значення цього показника не розкривають повної картини через різні терміни експлуатації об'єктів.

4. За індексом дохідності перший варіант превалює над другим.

5. Аналізуючи період окупності затрат за кожним варіантом, доходимо висновку, що інвестиційний проект А окупиться на рік швидше, ніж проект Б.

6. Визначення внутрішньої норми дохідності дало змогу розрахувати мінімальний коефіцієнт прибутковості (або поріг беззбитковості), тобто норму дисконту, за якої чистий приведений дохід дорівнюватиме нулю. Порівнюючи цю норму з дисконтними ставками за кожним проектом, можна встановити рівень прибутковості кожного варіанта. Що нижчою буде реальна відсоткова ставка від розрахункової, то прибутковішими будуть інвестиції. У першому варіанті розрахункова норма становить 19,2%, тоді реальна дисконтна ставка дорівнюватиме 12%, тобто нижча на 7,2%. У другому варіанті ця різниця набагато менша й становить 2,5%, отже, цей варіант ближчий до межі, за якою реалізація інвестиційного проекту може бути збитковою і неефективною.

Підбиваючи підсумок проведеного аналізу, констатуємо, що інвестиційний проект А вигідніший, ефективніший як за розміром чистого приведеного доходу й індексу дохідності, так і за періодом окупності. Цей варіант має більший запас щодо норми дохідності.

В економічній теорії зустрічаються й інші поняття та показники для оцінювання ефективності інвестицій, наприклад чиста поточна вартість, внутрішня рентабельність, які виражають такі самі показники чистого приведеного доходу та внутрішньої норми дохідності. Під час оцінювання ефективності доцільно враховувати і супутні, і народногосподарські інтереси.

Практично досить важко розрахувати розглянуті показники з високим ступенем достовірності, тим більше спрогнозувати їх на близьку й далеку перспективу. Тому у процесі складання інвестиційних бізнес-планів достатньо розраховувати показники, що застосовуються в зарубіжній практиці: чистий приведений дохід, індекс дохідності, період окупності, внутрішню норму дохідності.

Фінансова стратегія підприємства

Названа стратегія теж надзвичайно важлива серед інших функціональних стратегій, оскільки без її позитивної реалізації неможливі будь-які інші стратегії господарства: корпоративна, конкурентні, функціональні.

Фінансова функціональна стратегія означає прогнозування і коригування фінансових потоків відповідно до нових стратегій підприємства: корпоративної, конкурентних і функціональних; розподіл і постійний контроль за використанням фінансових ресурсів СОБ і функціональними службами; оцінювання інвестиційних проектів.

Принципи розробки фінансової стратегії

Розробка фінансової стратегії повинна базуватися на таких принципах:

а) балансування матеріальних і фінансових потоків;

б) найефективніший розподіл фінансових ресурсів для результативного фінансування корпоративної, конкурентних і функціональних стратегій підприємства;

в) прогнозування альтернативних можливостей розвитку підприємства і його складових з точки зору фінансових харак теристик його діяльності в різних умовах середовища;

г) фінансовий аналіз та контроль.

Завдання фінансової стратегії

Найважливіші завдання фінансової стратегії такі:

а) балансування, встановлення розумних співвідношень між коротко - та довгостроковими ефектами використання фінансових ресурсів;

б) зростання вартості власного внутрішнього капіталу;

в) забезпечення високих темпів зростання доходів;

г) оптимізація співвідношень власного і позичкового капіталу;

д) вдосконалення структури капіталу підприємства;

е) бюджетування;

є) проведення оптимальної дивідендної політики і інші.

Деякі найголовніші напрямки фінансової стратегії

Розглянемо деякі найголовніші напрямки і завдання фінансової стратегії детальніше.

1. Фінансова стратегія розробляється переважно у формі бюджету (фінансового плану). Отже бюджет - найважливіша складова фінансової стратегії, найважливіший напрямок її розробки.

Фінансовий план або бюджет - це фінансовий документ в якому визначено витрати майбутніх періодів і джерела їх покриття.

Бюджет підприємства включає:

План доходів і видатків. Йдеться про очікувані доходи (прибутки) та їх розподіл;

План грошових надходжень і виплат (план руху готівки);

Плановий баланс (групування коштів за їх складом і розміщенням та джерелами надходження).

Розрізняють наступні типи бюджетів підприємства:

Матеріальний бюджет - визначає кількість сировини і матеріалів по видах для реалізації стратегії;

Бюджет закупок - конкретизує витрати на закупівлю сировини і матеріалів для реалізації стратегії;

Бюджет праці - розраховує потребу у трудових ресурсах для реалізації стратегії.

Бюджет адміністративних витрат - розраховує витрати на управління.

Бюджетування в умовах ринку зустрічається з певними труднощами. По-перше, прогнозовані показники грошових надходжень, що залежать від коливання обсягів продаж, можуть не співпадати з фактичними потребами у фінансах на той чи інший період. По-друге, якщо планувати бюджет по діючих нормативах, то він може неадекватно вплинути на ресурсозабезпечення обраної стратегії, якщо середовище суттєво зміниться.

В зв'язку з цим, в умовах нестабільного середовища, з метою уникнення названих і деяких інших труднощів бюджетування, здійснюють певні нейтралізаційні заходи. Серед них: а) застосовують методики гнучкого бюджетування, які передбачають розробку бюджетів з врахуванням багатоваріантності умов їх реалізації; б) розробляють кілька альтернативних бюджетів для різних сценаріїв розвитку середовища; в) зокрема, використовують метод нульового бюджетування - підхід, який зовсім не враховує минулих і поточних бюджетних пропорцій для розподілу ресурсів під реалізацію нової стратегії підприємства.

2. Ще одним напрямом, завданням фінансової стратегії є розробка ефективної структури капіталу підприємства.

Ефективна структура капіталу означає розробку оптимальних співвідношень між основним і оборотним, власним і залученим капіталом, формування оптимальної структури майна підприємства Серед названого особливого значення слід надавати формуванню оптимального співвідношення між власним і залученим капіталом. Фінансовий ліверидж - використання боргів для фінансування інвестицій - нерідко вигідний підприємству. Але надмірні борги підвищують ризик, насторожують інвесторів, що може привести до підвищення вартості капіталу (позичок на капвкладення). Тобто доводиться в такому разі платити вищий дохід на акції, щоб спонукати їх покупку і отримати в такий спосіб фінансування на капвкладення. Беручи в борг (кредит) слід пам'ятати, що підприємству це вигідно доти, доки віддача від позичених коштів перевищує процент, який слід заплатити за користування ними.

3. Проведення дивідендної політики - теж важлива складова, важливий напрямок і завдання фінансової стратегії підприємства.

Дивідендна політика означає вибір оптимального співвідношення між розмірами частки доходу, що направляється на дивіденди (споживання) і часткою доходів, що направляється на інвестування (на нагромадження капіталу).

Існує декілька теорій дивідендної політики:

Дивіденди виплачуються лише після того, коли здійснено всі обов'язкові платежі і задоволено потребу у фінансуванні капвкладень (інвестуванні);

Дивіденди на акції не впливають на ціну цих акцій;

Дивіденди - впливають на ціну акцій і є важливим показником вартості підприємства.

На практиці ж спостерігаємо наступне:

Підприємства, які швидко розвиваються, часто не виплачують дивідендів (або ж виплачують у мінімальних розмірах), а весь дохід, за вирахуванням обов'язкових платежів, скеровують на розвиток виробництва, тобто на інвестування.

Підприємства, які повільно розвиваються, навпаки, вартість акцій підтримують сплатою високих дивідендів, а тому власних коштів на інвестування і швидкий розвиток їм не вистачає.

При розробці фінансової стратегії названі виклади теорії і практики обов'язково враховуються, особливо для вироблення дивідендної політики, управління дивідендами. При цьому розраховують коефіцієнт виплати дивідендів, який є часткою від ділення дивідендів з розрахунку на акцію на дохід з розрахунку на ту ж акцію. Так от підприємства, які прийняли стратегію зростання, планують названий коефіцієнт невисоким, нерідко розраховуються не дивідендами, а новими акціями, кошти від яких направляють на чисті інвестиції, на прискорений розвиток виробництва. І, навпаки, реалізуючи стратегію стабілізації, можна вже більшу кількість доходу направити на дивіденди і коефіцієнт планувати вищим.


[1] Корпоративне управління підприємством: Метод. вказівки до вивчення дисципліни та виконання практичних робіт для студентів спец. 8.050.206 , 8.050.201 “Менеджмент організацій” денної та заочної форм навчання / Укл.: Березянко Т.В. – К: НУХТ, 2006 – с. 12.

[2] Корпоративне управління підприємством: Метод. вказівки до вивчення дисципліни та виконання практичних робіт для студентів спец. 8.050.206 , 8.050.201 “Менеджмент організацій” денної та заочної форм навчання / Укл.: Березянко Т.В. – К: НУХТ, 2006 – с. 13.

[3] Корпоративне управління підприємством: Метод. вказівки до вивчення дисципліни та виконання практичних робіт для студентів спец. 8.050.206 , 8.050.201 “Менеджмент організацій” денної та заочної форм навчання / Укл.: Березянко Т.В. – К: НУХТ, 2006 – с. 15.

[4] Корпоративне управління підприємством: Метод. вказівки до вивчення дисципліни та виконання практичних робіт для студентів спец. 8.050.206 , 8.050.201 “Менеджмент організацій” денної та заочної форм навчання / Укл.: Березянко Т.В. – К: НУХТ, 2006 – с. 12.

[5] Корпоративне управління підприємством: Метод. вказівки до вивчення дисципліни та виконання практичних робіт для студентів спец. 8.050.206 , 8.050.201 “Менеджмент організацій” денної та заочної форм навчання / Укл.: Березянко Т.В. – К: НУХТ, 2006 – с. 13.

[6] Корпоративне управління підприємством: Метод. вказівки до вивчення дисципліни та виконання практичних робіт для студентів спец. 8.050.206 , 8.050.201 “Менеджмент організацій” денної та заочної форм навчання / Укл.: Березянко Т.В. – К: НУХТ, 2006 – с. 15.

[7] Корпоративне управління підприємством: Метод. вказівки до вивчення дисципліни та виконання практичних робіт для студентів спец. 8.050.206 , 8.050.201 “Менеджмент організацій” денної та заочної форм навчання / Укл.: Березянко Т.В. – К: НУХТ, 2006 – с. 12.

[8] Корпоративне управління підприємством: Метод. вказівки до вивчення дисципліни та виконання практичних робіт для студентів спец. 8.050.206 , 8.050.201 “Менеджмент організацій” денної та заочної форм навчання / Укл.: Березянко Т.В. – К: НУХТ, 2006 – с. 13.

[9] Корпоративне управління підприємством: Метод. вказівки до вивчення дисципліни та виконання практичних робіт для студентів спец. 8.050.206 , 8.050.201 “Менеджмент організацій” денної та заочної форм навчання / Укл.: Березянко Т.В. – К: НУХТ, 2006 – с. 15.

[10] buklib.net/component/option,com_jbook/task,view/Itemid,36/catid,95/id,1257  · 32 КБ

[11] inpos.com.ua/511  · 39 КБ

[12] inpos.com.ua/511

[13] Там же

[14] Там же

[15] Там же

[16] inpos.com.ua/511

[17] Там же

[18] www.vuzlib.net/strat_upr/25.htm


Страницы: 1, 2, 3, 4, 5, 6, 7, 8, 9, 10, 11, 12, 13, 14, 15


ИНТЕРЕСНОЕ



© 2009 Все права защищены.